The equation for weak base calculator calculates the unknown concentration of the dissociated weak base in a water solution.
INSTRUCTIONS: Choose the preferred units and enter the following:
Concentration of Dissociated Base: Thee concentration of the dissociated base [BH+] in units of (mol/L)
The common weak-base reaction is
for which the equilibrium equation is

since we are usually given the formal concentration , the [BH+]=x is unknown and we must solve for it. First we assume that x is going to be much smaller than the formal concentration, thus the equilibrium equation becomes

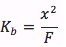
Multiplying both sides by the formal concentration we get

Taking a square root of both sides we get

The equation is

where
Harris, 9th Edition. Pp.195