La ecuación para titulación IV calcula el pH de la solución después del punto de equivalencia. (TEST)
Como se resuelve este tipo de problema:
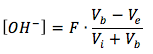
Información que tienes: La concentración formal del base fuerte y el ácido débil, Ka or pKa , el volumen de la base fuerte que se añade, el primero volumen del ácido débil.
Después que la reacción llega al punto de equivalencia, todo del ácido débil en la solución va reaccionar con la base fuerte y ahora solamente hay exceso base fuerte. Entonces, nosotros podemos usar el exceso concentración de ión hidróxido para encontrar el pH con la dilución:

*Nota: para la descripción de las variables desplazar hacia abajo
Nosotros podemos introducir este en la ecuación de pH después de que se convierte la concentración de hidróxido en ión de hidronio con esta ecuación.
Las ecuaciónes de pH junto


El gráfico arriba representa una titulación típica de un ácido débil con una base fuerte. La línea rojo representa donde ocurre la titulación IV.
La ecuación es

donde
Harris, 9th Edition. Pp.236-238