La ecuación se deriva de
dónde la reacción de disociación de un ácido débil original es
.
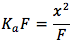
Resolviendo para 'x', asumimos que 'x' va ser un número muy pequeño así (F-x)=F. Entonces la ecuación se convierte
. Multiplicando ambos lados por 'F' (concentración formal), obtenemos
. Tomando la raíz cuadtada de abmos lados obtenemos
.
La ecuación es

dónde
Harris, 9th Edition. Pp.193