La ecuación de La Ley de Velocidad de Segundo-Orden[1], específicamente la forma integral toma en cuenta la concentración de los reactivos en una cierta punto en tiempo. La forma integral de la ecuación se consigue de la forma diferencial y puedes encontrar la integración aquí. A diferencia de la ley de velocidad de primero-orden, la ley de velocidad de segundo-orden se depende en los dos reactivos y así hay tres diferente casos:
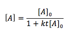
Caso 1. Los dos reactivos son del mismo sustancia A

Porque los dos reactivos son lo mismo, la concentración es lo mismo para los dos reactivos. La ecuación de velocidad integral es arriba.
Caso 2. Los reactivos de los diferenete sustanicas (A y B) y sus concentraciónes son diferente

Cuando los dos reactivos son diferente y tienen diferente concentraciónes, la ecuación diferencial se integra diferente para dar la ecuación

Caso 3. Los reactivos son de dos diferente sustancias (A y B) pero sus concentraciónes son el mismo.
Porque los concentraciónes son el mismo, puedes tratar las sustancias como uno y la integración se convierte como en caso uno.
La ecuación es
[2]
donde
[1]https://en.wikipedia.org/wiki/Rate_equation
[2]Whitten, et al. 10th Edition. Pp. 626,629,631